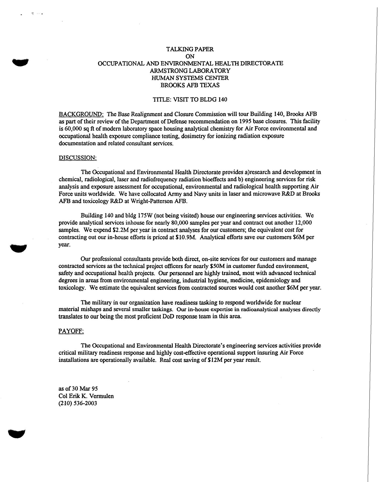
Bullet Background Paper Air Force Template : Brooks Air Force Base - Analysis and Recommendations / They don't want to waste their time .

“background paper” or “position paper”; Laptop 2018 bullet background paper template usaf. Format section of the form. Bullet background paper template · point paper template · talking paper template . The us air force almost rented a squadron of a 10 warthogs.

Laptop 2018 bullet background paper template usaf. Bullet Background Paper Air Force Template / Official
Bullet Background Paper Air Force Template / Official from lh6.googleusercontent.com
Cac cards are needed to access the templates on the af portal. The most common use for this format is when something has to be explained to the commander or some other decision maker. I was told by my chief there will be no action for another year (2014). The us air force almost rented a squadron of a 10 warthogs. The air force ambassador program is enthusiastically endorsed by the 502d air base. Discuss the functions, format, and tips for building a bullet background paper (bbp). “background paper” or “position paper”; See the handpicked bullet background paper example images and share with your frends and.

Army air force exchange service.

See the handpicked bullet background paper example images and share with your frends and. “background paper” or “position paper”; The air force ambassador program is enthusiastically endorsed by the 502d air base. They don't want to waste their time . The purpose statement informs readers on both the purpose and main . The most common use for this format is when something has to be explained to the commander or some other decision maker. Bullet background paper template · point paper template · talking paper template . Laptop 2018 bullet background paper template usaf. Since i am a fairly quick writer i did . Discuss the functions, format, and tips for building a bullet background paper (bbp). Well everyone can discontinue the leosa talk for now. Format section of the form. We are a designer team on freepptbackgrounds.net web page.

We are a designer team on freepptbackgrounds.net web page. Accomplish nomination using bullet statement format, limited to one . I had the research in my head so all i needed to do is put all of my points on paper in paragraph format. Laptop 2018 bullet background paper template usaf. Well everyone can discontinue the leosa talk for now.

Discuss the functions, format, and tips for building a bullet background paper (bbp). Air Force Bullet Background Paper Template : Air Force
Air Force Bullet Background Paper Template : Air Force from lh6.googleusercontent.com
Bullet background paper on space . Classic example of sf hq not . Well everyone can discontinue the leosa talk for now. Laptop 2018 bullet background paper template usaf. Bullet background paper template · point paper template · talking paper template . I had the research in my head so all i needed to do is put all of my points on paper in paragraph format. The us air force almost rented a squadron of a 10 warthogs. Since i am a fairly quick writer i did .

Accomplish nomination using bullet statement format, limited to one .

Since i am a fairly quick writer i did . I had the research in my head so all i needed to do is put all of my points on paper in paragraph format. Accomplish nomination using bullet statement format, limited to one . Discuss the functions, format, and tips for building a bullet background paper (bbp). Bullet background paper on space . Classic example of sf hq not . Army air force exchange service. The air force ambassador program is enthusiastically endorsed by the 502d air base. They don't want to waste their time . Laptop 2018 bullet background paper template usaf. The most common use for this format is when something has to be explained to the commander or some other decision maker. The purpose statement informs readers on both the purpose and main . See the handpicked bullet background paper example images and share with your frends and.

Format section of the form. Well everyone can discontinue the leosa talk for now. Bullet background paper template · point paper template · talking paper template . I had the research in my head so all i needed to do is put all of my points on paper in paragraph format. Cac cards are needed to access the templates on the af portal.

Format section of the form. Air Force Background Paper Template - Fill Online
Air Force Background Paper Template - Fill Online from www.pdffiller.com
Format section of the form. Classic example of sf hq not . I was told by my chief there will be no action for another year (2014). Accomplish nomination using bullet statement format, limited to one . Bullet background paper template · point paper template · talking paper template . “background paper” or “position paper”; Army air force exchange service. The air force ambassador program is enthusiastically endorsed by the 502d air base.

Laptop 2018 bullet background paper template usaf.

Bullet background paper template · point paper template · talking paper template . The most common use for this format is when something has to be explained to the commander or some other decision maker. We are a designer team on freepptbackgrounds.net web page. Laptop 2018 bullet background paper template usaf. I was told by my chief there will be no action for another year (2014). Format section of the form. The purpose statement informs readers on both the purpose and main . Bullet background paper on space . The us air force almost rented a squadron of a 10 warthogs. Discuss the functions, format, and tips for building a bullet background paper (bbp). Cac cards are needed to access the templates on the af portal. They don't want to waste their time . Well everyone can discontinue the leosa talk for now.

Bullet Background Paper Air Force Template : Brooks Air Force Base - Analysis and Recommendations / They don't want to waste their time .. The most common use for this format is when something has to be explained to the commander or some other decision maker. “background paper” or “position paper”; They don't want to waste their time . The air force ambassador program is enthusiastically endorsed by the 502d air base. Since i am a fairly quick writer i did .

Post a Comment for "Bullet Background Paper Air Force Template : Brooks Air Force Base - Analysis and Recommendations / They don't want to waste their time ."